雙法蘭差壓變送器在石油化工行業中非常廣泛地應用于液位測量,具有原理和結構簡單、精度優、現場操作和安裝方便等優點,但在設計和施工過程中,一些細節很容易被忽視,導致其測量精度降低、維護難度增加。正確的雙法蘭差壓變送器選型計算和安裝,對提高測量精度,方便現場操作維護有著重要意義。
雙法蘭差壓變送器以其原理和結構簡單、精度優、現場操作及安裝方便等優點,在石油化工行業應用非常廣泛。
本文基于雙法蘭差壓變送器應用于液位測量時的基本原理,以3種安裝方案為例,介紹了負遷移量的計算過程,不論采用哪種方案,其安裝位置都不影響變送器的負遷移量,實際應用中,推薦變送器安裝于設備下管嘴下方的方案。并介紹了一些選型及安裝注意事項。
1雙法蘭差壓變送器基本原理
雙法蘭差壓變送器又稱帶遠傳裝置的差壓變送器,在普通差壓變送器基礎上增加了遠傳密封裝置,主要由法蘭連接件、感壓膜片、帶有隔離液的毛細管及變送器幾部分組成。其中敏感元件感壓膜片經毛細管與變送器測量室相通,由感壓元件、毛細管、測量室組成的封閉系統內充有隔離液,一般為硅油。介質壓力通過硅油傳遞到測量室,工作時,被測介質壓力作用在感壓膜片上,使膜片產生形變,然后通過毛細管內的硅油將壓力傳遞到敏感元件上,進而測出壓力。毛細管的外部套有金屬撓性保護管,長度可選,省去了引壓管,安裝方便,解決了引壓管腐蝕和堵塞等問題。但雙法蘭液位變送器不適用于負壓測量,設備負壓不在本文討論范圍之內。
2雙法蘭變送器安裝方案與遷移量計算
在實際的設計過程中,當密閉容器采用雙法蘭差壓變送器測量液位時,變送器有3種安裝方式:位于設備上管嘴上方、位于設備上下管嘴之間、位于設備下管嘴下方。下面就這3種方式做詳盡的遷移量計算和分析。
2.1變送器位于設備上管嘴上方
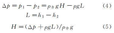
變送器位于設備上管嘴上方安裝方案如圖1所示,根據液體壓強公式,要計算出設備的液位高度H,則需要測量出雙法蘭差壓變送器正負室兩側的差壓Δp。

KYK壓力變送器_差壓變送器_液位變送器_溫度變送器
式中
H:液位高度;
p1:變送器正壓室側壓力;
p2:變送器負壓室側壓力;Δp:變送器正負壓側差壓;
ρ:硅油密度;ρ介———設備內介質密度;
g:重力加速度;p′1———設備上管嘴壓力;p′2———設備下管嘴壓力;h1———正壓側距離下管嘴的垂直距離;
h2:負壓側距離上管嘴的垂直距離;
L:設備上下管嘴法蘭間距(取源間距)。由式(1)~式(3)得出:
當H在零位時,變送器負壓端受到的壓力為ρgL,所以負遷移量為ρgL,負遷移量只與ρ及L有關。
2.2變送器位于設備上下管嘴之間
變送器位于設備上下管嘴之間的安裝方案如圖2所示,當變送器位于設備上下管嘴之間時,通過液體壓強公式的計算,得出H的計算公式同式(5)。當H在零位時,變送器負壓端受到的壓力為ρgL,所以負遷移量為ρgL,負遷移量只與ρ及L有關。
2.3變送器位于設備下管嘴下方
變送器位于設備下管嘴下方的安裝方案如圖3所示,通過液體壓強公式的計算,得出H的計算公式同式(5)。同2.1節、2.2節分析情況一樣,當H在零位時,變送器負壓端受到的壓力為ρgL,同樣需要負遷移,負遷移量仍然為ρgL,只與ρ及L有關。
從上述3種安裝方式的計算過程不難發現,無論雙法蘭差壓變送器采用何種安裝方案,其安裝位置都不會改變變送器的負遷移量。同時,一旦變送器硅油密度確定,設備開口法蘭間距確定后,負遷移量就確定了,不會隨著安裝方案、介質密度或液位高度而改變。
3 安裝方案分析及選擇
1)采用變送器位于設備上管嘴上方的方案時,變送器正壓側壓力p1=p′1-ρgh1,當h1>p′1/ρg或者0<p′1<ρgh1時,p1<0,此時變送
器正壓側膜片就會承受負壓。同理,負壓側壓力p2=p′2-ρgh2,當h2>p′2/ρg或者0<p′2<ρgh2時,p2<0,此時變送器負壓側膜片就會承受負壓。該負壓是毛細管中的硅油施加給膜片的反方向壓力,若變送器長期處于負壓,就會影響到膜片的靈敏度和變送器的精度,甚至導致膜片形變。
2)采用變送器位于設備上下管嘴之間的方案時,變送器正壓側壓力為p1=p′1-ρgh1,負壓側壓力為p2=p′2+ρgh2,跟1)的情況類似,當h1>p′1/ρg或者0<p′1<ρgh1時,p1<0,那么變送器膜片就會承受負壓,反方向受力,進而影響膜片性能。
3)采用變送器位于設備下管嘴下方的方案時,變送器正壓側壓力為p1=p′1+ρgh1,負壓側壓力為p2=p′2+ρgh2,該安裝方式下,無論h1和h2是多大,或者p′1和p′2是多少,都不會在變送器正負壓側產生負壓,對膜片也不會產生反方向的力。
綜上所述,當采用雙法蘭差壓變送器測量液位時,#好是將變送器安裝在設備下管嘴的下方,當設備下方沒有合適的位置時,也要注意,h1和h2不能過大,即變送器與上下取壓點之間的距離不能過大,在設計的過程中,可以根據工藝提供的操作參數及條件通過公式提前核算一下。
4材質選擇
雙法蘭差壓變送器在選型時,要根據具體的工作環境和所接觸介質的特性,選擇變送器的外殼材質、法蘭材質和接液材質。變送器的外殼材質通常有鋁合金和不銹鋼,考慮到經濟實用性,外殼材質一般選擇鋁合金,但當工作環境有一定的腐蝕性時,建議選擇不銹鋼。由于法蘭不接液,建議與設備法蘭管嘴材質一致。
變送器的接液部分主要指的是感壓膜片,對于常規油品、水等無腐蝕性介質,膜片材質通常選擇316或者316L不銹鋼,若變送器用于測量具有腐蝕性介質時,需要根據不同介質的物理和化學特性,選擇合適的感壓膜片材質。如:對于含有低濃度堿液的介質,建議選擇哈氏合金C;對于含有硫酸的介質,可以根據硫酸的濃度和溫度選擇哈氏合金B、哈氏合金C或者鉭合金材質;對于高溫高壓的臨氫工況,膜片可以選擇316L加鍍金等材質。
當雙法蘭差壓變送器配沖洗環時,要注意沖洗環也接液,選材時也要充分考慮所接觸介質的特性。對于腐蝕性非常強的介質,膜片的使用壽命會有影響。需要根據膜片材質在特定介質中的腐蝕曲線,并結合工藝、材料專業和供貨廠家進行綜合評估,#好在智能儀表管理系統中增設膜片更換預警。
5其他注意事項
1)一般情況下,當介質具有腐蝕性、易結晶、黏度大、低凝固等特性時,常選用雙法蘭差壓變送器來測量液位。對于結晶較為嚴重或者黏度過大的介質,除了選用雙法蘭差壓變送器,還需要對設備管嘴和取源閥進行保溫伴熱,如果效果仍然不
理想,可以在法蘭連接處加裝沖洗環,接入沖洗液或吹掃蒸汽,定期沖洗,保證感壓膜片的清潔以及法蘭管嘴的通暢。
2)雙法蘭差壓變送器毛細管中的填充硅油需要根據介質#高操作溫度進行選擇,常用的有低溫硅油和高溫硅油,低溫硅油使用范圍為-45~205℃;高溫硅油使用范圍一般為0~315℃。在設計時,當介質溫度高于205℃時,建議使用高溫硅油,但高溫硅油在較低環境溫度中使用時,其壓力傳遞性能會受到影響。比如北方的冬天,當環境溫度在零下時,高溫硅油就有凝結的現象,會造成測量失真,這種工況下要做好毛細管的保溫伴熱工作,但伴熱溫度不宜過高,20℃左右即可;或者延長設備上的取壓管嘴長度,盡量讓介質接觸到硅油時的溫度低于205℃,這樣就可以選擇低溫硅油,進而解決了高溫硅油在低溫環境需要伴熱的問題。
3)選擇毛細管長度時,正負壓側的毛細管盡量一樣長,這樣可以有效避免因為正負壓側響應時間的不同,導致的測量誤差。
雙法蘭差壓變送器是一款應用非常成熟和廣泛的儀表,但在設計和安裝過程中,容易忽略一些介質特性及周邊環境等細節,導致測量效果不理想。通過分析和總結雙法蘭差壓變送器在測量液位時較常見的安裝選型問題,具有很好的指導經驗和參考意義。